接触角测量仪如何测量表面张力:
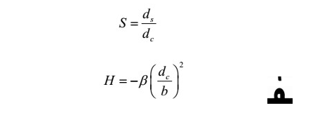
利用悬滴法研究表(界)面张力的想法在19世纪末就提出来了,但第一个有实用价值的研究是1937年Andreas等的工作,他们比较了用过的五种方法的优劣,提出用选面法确定悬滴外形参数的方法。Andreas令:

式中dc是悬滴外形的最大直径,ds是与悬滴底部顶点的垂直距离等于dc处的直径,如下图所示,β和b分别是Bashforth-Adams方程中的形状因子和大小因子。

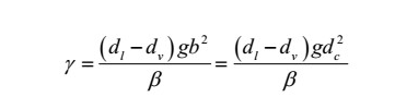
表面张力的计算公式如下:

式中dl和dv分别为液相和气相密度。因此,用投影法测出dc和ds以后,设法取得H值,即可计算出表面张力。Andreas等发现与S有对应关系。他们测定了各种形状和尺寸的电导水悬滴的dc和ds,计算出S值。又根据电导水的表面张力(25℃,72.0mN/m)按照式(10)算出值,做出数据表。这是第一个悬滴选面法参数表,是经验性的结果,准确度受他们所用电导水表面张力准确性的限制。后来,Bartell和Nicederhouser及Fordham各自独立地应用Bashforth-Adams方程数值解推算出理论的值和S值,给出S值从0.670到1.002间隔为0.001的-S表。两份表在整个范围内,知道小数第四位都完全相同,说明结果的准确性。尔后,Stauffer又自理论计算出S值从0.3到0.66的表,扩大了悬滴法的应用范围。附录3表5给出Fordham和Stauffer的表。
悬滴法具有完全平衡及便于研究液面老化等优点,数据处理比停滴法方便,此法关键在于保持悬滴稳定不变和防止振动,Ambwani等根据大量测定结果认为此法所得表面张力的相对误差在0.15%之内。
表面张力仪适用行业:
1、墨水、油墨、油漆:分析印刷/涂布制程中的可润湿性,进行产品研发以及质量控制
2、印刷行业:网版清洗液研制及可润湿性分析,薄膜可润湿性分析
3、胶卷行业:可润湿性分析,品质控制
4、清剂行业:分析表面活性剂的吸收速度、性质,研究合适的浓度
5、助化液产业:研究聚焦与扩散行为能力
6、化妆品行业:分析乳剂或悬浮剂的分散性、稳定性及湿润性
7、电镀行业:分析湿润性,进行质量控制
8、农药行业:添加剂研制,配方,可润湿性分析
9、纳米纤维、粉体研究:纤维接触角/亲水角分析,动态接触角分析。
10、石油行业:二次、三次采油界面张力表征,油驱品质控制,可降解成份分析。
11、纺织品行业:接触角分析,染料可润湿性分析,表面张力分析,附着力分析
12、医药、食品行业:表面张力分析,可润湿性分析,罐头涂层表面张力,清洁度分析
13、电力行业:变压器油、绝缘油表面张力分析,纤维束接触角分析